PRODUCT NEWS




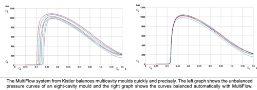
CoMo Injection with MultiFlow balances Hot-Runner Moulds automatically

The CoMo Injection system from Kistler Instruments (www.kistler.com), widely used by the injection moulding industry to achieve maximum productivity by minimising rejects, uses cavity pressure to monitor and control the injection process. This system has now been extended with the addition of the MultiFlow option to provide automatic hot runner balancing


Cycle by cycle, CoMo Injection with MultiFlow monitors the pressure profile of each cavity of a hot-runner mould from injection, through compression and holding, to the cooling phase. During the injection and holding pressure phases, the MultiFlow software analyses the pressures curves in all cavities. The synchronous rise in pressure in all cavities is achieved by the system automatically calculating the optimal set-point temperature for each hot runner tip, which is then transferred via an interface to the hot runner controller.
The mould is automatically balanced during process start-up, and continuous optimisation keeps it stable during production. The balanced mould always exhibits congruent cavity pressure curves during the injection and holding pressure phases. At the same time, CoMo Injection continuously monitors the quality of all of the parts produced and signals any need for automatic separation of rejects.

Hot-runner balancing with MultiFlow completely eliminates the need for time-consuming manual optimisation and adjustment of the hot-runner temperatures during set-up and production.



May 2010

Home - Search - Suppliers - Links - New Products - Catalogues - Magazines
Problem Page - Applications - How they work - Tech Tips - Training - Events